- Trang chủ
- /
- Kiến thức chuyên ngành
- /
- Điện trở là gì? Khái niệm, công thức tính và phân loại
Điện trở là gì? Khái niệm, công thức tính và phân loại
Điện trở (Resistance) là đại lượng thể hiện khả năng cản trở dòng điện trong vật dẫn, được đo bằng đơn vị Ohm (Ω). Giá trị điện trở càng lớn, dòng điện đi qua càng nhỏ. Đây là yếu tố quan trọng quyết định hiệu suất hoạt động của các thiết bị điện, từ mạch điện dân dụng cho đến máy phát điện công nghiệp.
Hiểu rõ điện trở là gì giúp người dùng kiểm soát tốt hơn việc phân bố dòng điện, bảo vệ thiết bị và tối ưu hiệu suất hệ thống điện. Dianyo Powergen sẽ giúp bạn tìm hiểu khái niệm, công thức tính, phân loại và ứng dụng trong bài viết dưới đây.
Điện trở là gì?
Điện trở (ký hiệu là R) là linh kiện điện tử thụ động có vai trò cản trở dòng điện trong mạch. Hay, điện trở thể hiện mức độ chống lại dòng điện của một vật liệu dẫn điện khi có hiệu điện thế đặt vào hai đầu.
Trong hệ thống điện, điện trở được đo bằng đơn vị Ohm (Ω). Đại lượng nghịch đảo của điện trở là độ dẫn điện, ký hiệu là G, được đo bằng siemens (S). Mỗi vật liệu đều có khả năng dẫn điện khác nhau:
-
Vật dẫn điện tốt (như đồng, bạc) có điện trở nhỏ.
-
Vật dẫn điện kém (như hợp kim, than chì) có điện trở lớn.
-
Vật cách điện (như nhựa, thủy tinh) có điện trở gần như vô hạn
Nhờ đặc tính ổn định, điện trở không phân biệt cực tính, có thể lắp đặt ở bất kỳ chiều nào trong mạch, có thể được ứng dụng rộng rãi để giới hạn dòng điện, chia điện áp, bảo vệ linh kiện và tạo tín hiệu điện trong mạch điều khiển.

Công thức tính điện trở
Giá trị điện trở được xác định theo Định luật Ôm với công thức: R = U / I
Trong đó:
-
R là điện trở (đơn vị Ohm – Ω)
-
U là hiệu điện thế giữa hai đầu vật dẫn (Volt – V)
-
I là cường độ dòng điện đi qua vật dẫn (Ampe – A)
Điện trở càng lớn thì dòng điện càng nhỏ và ngược lại. Công thức này giúp kỹ sư điện thiết kế mạch hoạt động ổn định, tránh hiện tượng quá tải gây hỏng thiết bị.
Lợi ích của điện trở trong thực tế
Điện trở là thành phần không thể thiếu trong mọi mạch điện, từ thiết bị dân dụng đến hệ thống công nghiệp hiện đại. Một số ứng dụng điển hình gồm:
-
Giới hạn dòng điện để bảo vệ các linh kiện nhạy cảm như LED, transistor.
-
Chia điện áp trong các mạch đo lường hoặc điều khiển.
-
Tạo nhiệt trong các thiết bị như bàn ủi, bếp điện, lò sưởi.
-
Ổn định tín hiệu trong mạch khuếch đại, cảm biến, vi điều khiển.
Nhờ những đặc tính này, điện trở góp phần giúp hệ thống điện hoạt động an toàn, ổn định và tiết kiệm năng lượng hơn.
Cách đọc giá trị điện trở qua vòng màu
Trên thân điện trở thường có 4 vòng màu thể hiện giá trị và sai số của linh kiện. Mỗi màu tương ứng với một con số nhất định, giúp người dùng xác định nhanh thông số mà không cần dụng cụ đo.
Cụ thể:
-
Hai vòng đầu tiên: Biểu thị hai chữ số đầu của giá trị điện trở.
-
Vòng thứ ba: Chỉ số lượng chữ số “0” thêm vào sau.
-
Vòng thứ tư: Thể hiện sai số của điện trở.
Ví dụ 1: Một điện trở có 4 vòng màu: Đỏ – Đỏ – Nâu – Ngân Nhũ. Trong đó, màu Đỏ có giá trị 2, màu Nâu có giá trị 1, vòng Ngân Nhũ thể hiện sai số 5%. Gép hai số đầu tiên (2 và 2) ta được 22, thêm 1 số 0 (theo vòng Nâu) sẽ là 220Ω ±5%. Như vậy, giá trị điện trở là 220 Ohm, sai số 5%.
Ví dụ 2: Một điện trở có vòng màu Cam – Cam – Xanh Lá. Lần lượt, màu Cam tương ứng với số 3, màu Xanh Lá tương ứng với 5 (thêm 5 số 0). Ghép lại ta có: 33 + 00000 = 3.300.000Ω = 3,3 MΩ.
Các điện trở có nhiều vòng hơn (5 hoặc 6 vòng) sẽ cho phép xác định giá trị và sai số chính xác hơn, thường được dùng trong các mạch công nghiệp hoặc thiết bị yêu cầu độ chính xác cao.
Nguyên lý hoạt động và đặc điểm của điện trở
- Trong dòng điện một chiều (DC), khi điện áp đạt cực đại thì dòng điện cũng đạt cực đại; khi điện áp bằng không, dòng điện trong mạch cũng bằng không.
- Trong dòng điện xoay chiều (AC), điện áp và dòng điện cùng pha, do đó các công thức áp dụng cho mạch DC cũng có thể dùng trong mạch AC chỉ chứa điện trở.
Theo định luật Ohm, khi điều kiện môi trường (nhiệt độ, áp suất…) ổn định, điện trở không phụ thuộc vào hiệu điện thế hay cường độ dòng điện, mà chính là tỷ lệ hằng số giữa hai đại lượng. Những vật liệu tuân theo định luật Ohm được gọi là vật liệu ohmic đây là nguyên lý cơ bản được ứng dụng trong hầu hết các linh kiện điện tử, thiết bị điện và máy phát điện.

Tìm hiểu 3 cách mắc điện trở phổ biến hiện nay
Trong thực tế, điện trở được ứng dụng rộng rãi trong mạch điện công nghiệp, máy phát điện công nghiệp, bộ điều khiển điện áp, thiết bị đo lường,… Để đáp ứng các yêu cầu sử dụng khác nhau, người ta thường mắc điện trở theo ba cách cơ bản như sau:
Điện trở mắc nối tiếp
Điện trở mắc nối tiếp là cách nối các điện trở theo hàng dọc, đầu này nối tiếp với đầu kia, để tổng điện trở tăng lên.
Đặc điểm:
-
Dòng điện chạy qua các điện trở là như nhau.
-
Hiệu điện thế toàn mạch bằng tổng các hiệu điện thế trên từng điện trở.
-
Giá trị điện trở tương đương: Rtổng=R1+R2+R3+...+Rn
Ví dụ: Nếu có 3 điện trở lần lượt là 10Ω, 20Ω và 30Ω mắc nối tiếp, thì tổng điện trở là: R = 10 + 20 + 30 = 60Ω.
Ứng dụng: Kiểu mắc này thường dùng khi cần tăng điện trở tổng, hạn chế dòng điện trong mạch hoặc phân chia điện áp giữa các phần tử ví dụ như trong bộ khởi động của máy phát điện, khi cần điều chỉnh dòng khởi động ban đầu.
Điện trở mắc song song
Điện trở mắc song song là cách mắc trong đó các đầu của điện trở được nối chung với nhau, tạo ra nhiều nhánh dẫn điện song song.
Đặc điểm:
-
Hiệu điện thế giữa hai đầu các điện trở bằng nhau.
-
Dòng điện chia đều qua các nhánh tùy theo giá trị điện trở.
-
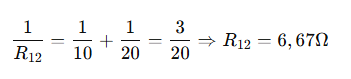
Điện trở tương đương của mạch song song được tính theo công thức: Áp dụng công thức:

Ví dụ: Nếu có hai điện trở 10Ω và 20Ω mắc song song, thì:

Ứng dụng: Kiểu mắc song song thường được sử dụng trong mạch cần giảm điện trở tổng, chia tải hoặc tăng dòng điện, chẳng hạn trong các mạch bảo vệ, mạch chia dòng trong hệ thống điều khiển máy phát điện.
Điện trở mắc hỗn hợp
Điện trở mắc hỗn hợp là sự kết hợp giữa mắc nối tiếp và mắc song song. Dạng này thường gặp trong các mạch phức tạp, khi cần điều chỉnh cả điện áp lẫn dòng điện theo từng phần mạch khác nhau.
Đặc điểm:
-
Tổng điện trở của mạch được tính bằng cách kết hợp hai công thức trên (nối tiếp và song song).
-
Mắc hỗn hợp giúp tối ưu hóa mạch điện, đảm bảo sự cân bằng giữa điện áp và dòng điện, đồng thời giảm tải cho từng linh kiện.
Ví dụ: Nếu hai điện trở 10Ω và 20Ω mắc song song, rồi nối tiếp với một điện trở 5Ω khác, thì:

Tổng điện trở: Rtổng=R12+5=11,67Ω
Ứng dụng: Điện trở mắc hỗn hợp thường được dùng trong mạch điều khiển tự động, hệ thống giám sát hoặc mạch ổn áp của máy phát điện công nghiệp, nơi yêu cầu sự linh hoạt và ổn định cao.
Phân loại điện trở trong hệ thống điện
Tùy theo đặc tính và mục đích sử dụng, điện trở được chia thành nhiều loại khác nhau. Việc phân loại điện trở giúp kỹ sư, thợ điện hay người dùng lựa chọn đúng loại phù hợp với từng hệ thống.
1. Phân loại điện trở dựa theo giá trị điện trở
Dựa vào giá trị điện trở suất, điện trở được chia làm hai loại chính:
- Điện trở có giá trị cố định: Là loại điện trở có giá trị được xác định ngay từ khi sản xuất và không thể thay đổi trong quá trình sử dụng thường được làm từ hợp chất cacbon hoặc chì, có ưu điểm là ổn định, dễ sử dụng và giá thành thấp.
- Điện trở không cố định (biến trở hoặc chiết áp): Biến trở là loại điện trở có khả năng thay đổi giá trị điện trở suất trong quá trình sử dụng. Người dùng có thể điều chỉnh thủ công để kiểm soát điện áp và cường độ dòng điện theo nhu cầu.
2. Phân loại điện trở theo tính chất dẫn điện
Căn cứ theo đặc tính dẫn điện, điện trở được chia làm hai nhóm chính:
- Điện trở tuyến tính: Là loại điện trở mà khi điện áp thay đổi, giá trị trở kháng không thay đổi, loại này có đặc điểm ổn định, dễ tính toán, được dùng phổ biến trong các mạch cơ bản, bộ chia áp và mạch điều khiển ổn định dòng điện.
- Điện trở phi tuyến tính: Giá trị trở kháng thay đổi theo điện áp đặt lên nó. Điện trở phi tuyến tính làm cho mạch điện trở nên phi tuyến, tức là chỉ cần sự thay đổi nhỏ ở điện áp cũng có thể gây biến động lớn về dòng điện, thường được dùng trong mạch chỉnh lưu, mạch bảo vệ, hoặc các bộ khuếch đại công suất.

3. Phân loại điện trở theo chức năng
Dựa trên chức năng hoạt động, điện trở có thể chia thành 4 loại thông dụng nhất trong kỹ thuật điện:
- Điện trở chính xác: Đây là loại điện trở có độ chính xác rất cao, dung sai thấp, thường được sử dụng trong thiết bị đo lường, mạch cảm biến, hoặc mạch điều khiển của máy phát điện, nơi yêu cầu sai số nhỏ để đảm bảo độ ổn định.
- Điện trở nhiệt (Thermistor): Điện trở nhiệt là loại điện trở thay đổi giá trị theo nhiệt độ, thường được dùng để đo và điều khiển nhiệt độ trong mạch bảo vệ máy phát điện, cảm biến nhiệt, hoặc bộ khởi động mềm. Có hai loại chính:
-
PTC (Positive Temperature Coefficient): điện trở tăng khi nhiệt độ tăng.
-
NTC (Negative Temperature Coefficient): điện trở giảm khi nhiệt độ tăng.
- Điện trở nóng chảy (Fusible Resistor): Còn gọi là điện trở cầu chì, có chức năng bảo vệ mạch điện. Khi dòng điện hoặc công suất vượt quá mức cho phép, điện trở này sẽ bị cháy và ngắt mạch giúp tránh hư hỏng linh kiện khác.
- Điện trở quang (Photoresistor): Điện trở quang có giá trị thay đổi theo cường độ ánh sáng chiếu vào bề mặt. Trong môi trường tối, điện trở của nó rất cao; ngược lại, khi có ánh sáng mạnh, điện trở giảm xuống,được ứng dụng trong các mạch cảm biến ánh sáng, điều khiển đèn tự động hoặc thiết bị an ninh thông minh.
Ứng dụng của điện trở trong thực tế
Điện trở có vai trò cực kỳ quan trọng trong các hệ thống điện, từ dân dụng đến công nghiệp. Một số ứng dụng phổ biến có thể kể đến:
- Điều chỉnh và khống chế dòng điện.
- Mắc điện trở thành cầu phân áp giúp tạo ra điện áp mong muốn từ một nguồn điện có sẵn.
- Giúp bóng bán dẫn hoạt động ổn định trong mạch khuếch đại.
- Điện trở kết hợp tụ điện để tạo ra dao động trong các mạch tạo sóng hoặc điều khiển xung.
- Khi dòng điện đi qua, điện trở chuyển đổi năng lượng điện thành nhiệt, ứng dụng trong máy sưởi, điện trở đốt, hoặc bộ ổn nhiệt công nghiệp.

Kết luận
Hiểu rõ điện trở là gì, các phân loại điện trở và ứng dụng của chúng giúp người dùng lựa chọn đúng loại linh kiện cho từng mục đích sử dụng. Trong các hệ thống điện và máy phát điện công nghiệp, điện trở đóng vai trò điều chỉnh, bảo vệ và ổn định hoạt động của mạch điện, giúp thiết bị vận hành an toàn, bền bỉ và đạt hiệu suất cao nhất. Mọi vướng mắc xin vui lòng liên hệ với Dianyo Powergen để được tư vấn và giải đáp nhanh chóng.
Đối tác chính








