- Trang chủ
- /
- Kiến thức chuyên ngành
- /
- Hệ số công suất là gì? Tầm quan trọng trong sản xuất và vận hành máy phát điện
Hệ số công suất là gì? Tầm quan trọng trong sản xuất và vận hành máy phát điện
Trong hệ thống điện, hệ số công suất (Power Factor) là một chỉ số quan trọng phản ánh hiệu quả sử dụng điện năng. Việc hiểu rõ hệ số công suất là gì không chỉ giúp doanh nghiệp tối ưu hóa chi phí điện năng mà còn góp phần đảm bảo an toàn, nâng cao hiệu suất vận hành của thiết bị, đặc biệt là đối với các dòng máy phát điện công suất lớn.
Hãy cùng Dianyo PowerGen tìm hiểu khái niệm, công thức tính hệ số công suất, các loại thường gặp trong nội dung dưới đây.
Giới thiệu về hệ số công suất (Power Factor)
Trong hệ thống điện xoay chiều (AC), hệ số công suất (Power Factor - PF) là một chỉ số quan trọng phản ánh hiệu quả sử dụng năng lượng của thiết bị. Giá trị của PF dao động từ 0 đến 1, thường được ký hiệu là cos ϕ, cho thấy mức độ tương quan giữa điện áp và dòng điện trong mạch.
Về bản chất, PF được tính bằng tỉ lệ giữa công suất thực (P) và công suất biểu kiến (S) của thiết bị. Trong một hệ thống điện, công suất được chia thành ba loại:
-
Công suất thực (P): phần điện năng thực sự chuyển hóa thành công hữu ích (như ánh sáng, cơ năng…).
-
Công suất phản kháng (Q): phần năng lượng dao động giữa nguồn và tải, không sinh công nhưng cần thiết để duy trì từ trường.
-
Công suất biểu kiến (S): tổng hợp cả công suất thực và công suất phản kháng.
Ba loại công suất này hợp thành tam giác công suất, trong đó PF = P/S. Hệ số công suất càng cao thì hiệu quả sử dụng điện năng càng tốt.
Ví dụ, trong các thiết bị chiếu sáng, đèn LED có hệ số công suất cao (khoảng 0,8 – 0,9) sẽ hoạt động ổn định, tiết kiệm điện và bền hơn so với các loại đèn có PF thấp.
Định nghĩa hệ số công suất là gì?
Hệ số công suất là tỉ lệ giữa công suất tác dụng (công suất thực) và công suất biểu kiến của một thiết bị điện. Hệ số này cho biết mức độ phù hợp giữa điện áp và dòng điện xoay chiều trong mạch.
Một PF thấp đồng nghĩa với việc có nhiều năng lượng bị lãng phí dưới dạng nhiệt, dẫn đến giảm hiệu suất truyền tải điện và yêu cầu dây dẫn có kích thước lớn hơn. Trong khi đó, việc duy trì PF cao sẽ giúp tối ưu hóa hiệu suất vận hành thiết bị, tiết kiệm năng lượng, giảm chi phí điện năng, đảm bảo hệ thống điện ổn định và an toàn hơn.

Công thức tính hệ số công suất (Power Factor)
Để hiểu rõ hơn hệ số công suất là gì, chúng ta cần nắm được cách tính chỉ số này. Hệ số công suất (PF) được xác định bằng tỉ lệ giữa công suất thực (Real Power) và công suất biểu kiến (Apparent Power) trong mạch điện xoay chiều.
Công thức tính hệ số công suất được biểu diễn như sau:
PF = Real Power / Apparent Power = cos ϕ = P / S
Trong đó:
-
PF: Hệ số công suất.
-
cos ϕ: Ký hiệu thường dùng trong các tài liệu kỹ thuật để chỉ hệ số công suất.
-
P (Active Power / Real Power): Công suất thực, phần năng lượng hữu ích chuyển đổi thành cơ năng, nhiệt năng hoặc ánh sáng. Đơn vị: watt (W).
-
S (Apparent Power): Công suất biểu kiến, phản ánh tổng năng lượng mà mạch điện nhận từ nguồn. Đơn vị: volt-ampere (VA).
Hệ số công suất luôn nằm trong khoảng 0 đến 1:
-
Nếu PF gần bằng 1: Mạch điện hoạt động hiệu quả, năng lượng tiêu thụ được sử dụng tối ưu.
-
Nếu PF thấp: Cho thấy có nhiều năng lượng bị lãng phí dưới dạng nhiệt, dẫn đến quá tải và giảm hiệu quả truyền tải điện.
Ví dụ:
-
Đèn HPS có PF ≈ 0.5 (hiệu quả thấp).
-
Đèn halogen kim loại có PF ≈ 0.7 (trung bình).
-
Đèn LED thường có PF > 0.9 (hiệu quả cao, tiết kiệm năng lượng).
Việc tính toán và kiểm soát hệ số công suất đóng vai trò quan trọng trong việc thiết kế, vận hành và tối ưu hóa các hệ thống điện, đặc biệt là trong sản xuất và các thiết bị tiêu thụ công suất lớn.
Các loại hệ số công suất thường gặp
Mỗi loại phản ánh một trạng thái hoạt động khác nhau của mạch điện và ảnh hưởng trực tiếp đến hiệu quả sử dụng năng lượng, đặc biệt trong các hệ thống máy phát điện công nghiệp. Dưới đây là các loại hệ số công suất thường gặp:
Hệ số công suất dẫn đầu (Leading Power Factor)
Hệ số công suất dẫn đầu xảy ra khi dòng điện đi trước điện áp trong mạch điện xoay chiều. Điều này thường xuất hiện ở các tải có đặc tính điện dung (như tụ điện).
Khi hệ số công suất dẫn đầu xuất hiện, mạch điện có xu hướng trả lại năng lượng về lưới, giúp cân bằng nhưng cũng có thể gây ra hiện tượng dao động nếu không được điều chỉnh. Giá trị hệ số này được đo bằng cos ϕ, nằm trong khoảng từ 0 - 1.
Hệ số công suất trễ độ (Lagging Power Factor)
Đây là loại hệ số công suất phổ biến nhất, thường xuất hiện trong các tải cảm ứng như động cơ điện, máy biến áp. Hệ số công suất trễ độ xảy ra khi dòng điện bị trễ so với điện áp.
Giá trị PF trong trường hợp này cũng dao động từ 0 - 1. Nếu hệ số công suất trễ thấp, điều đó đồng nghĩa với hiệu suất sử dụng năng lượng kém, gây tổn thất điện năng và làm tăng chi phí vận hành.

Hệ số công suất đồng (Unity Power Factor)
Hệ số công suất đồng hay còn gọi là hệ số công suất bằng 1. Đây là trạng thái lý tưởng, khi dòng điện và điện áp đồng pha, tức toàn bộ công suất cung cấp đều được chuyển hóa thành công suất thực để phục vụ sản xuất hoặc vận hành thiết bị.
Khi đạt PF = 1, hệ thống điện hoạt động tối ưu, không gây lãng phí năng lượng và tránh quá tải cho thiết bị.
Lợi ích của việc cải thiện hệ số công suất
Việc cải thiện hệ số công suất mang lại nhiều lợi ích quan trọng cho cả doanh nghiệp và hệ thống điện:
- Hệ số công suất thấp khiến hệ thống phải tăng công suất truyền tải, làm tăng hóa đơn tiền điện. Nâng cao PF giúp giảm công suất phản kháng, tối ưu chi phí vận hành.
- PF cao đồng nghĩa với việc điện năng được sử dụng hiệu quả hơn, hạn chế tổn hao dưới dạng nhiệt và nâng cao hiệu suất của toàn hệ thống.
- Khi hệ số công suất được cải thiện, tải trên dây dẫn, máy biến áp và máy phát điện sẽ giảm, kéo dài tuổi thọ thiết bị và hạn chế sự cố.
- Tiêu thụ năng lượng hiệu quả hơn giúp giảm phát thải khí nhà kính, tiết kiệm nguồn tài nguyên và góp phần phát triển bền vững.

Mối quan hệ giữa hệ số công suất của thiết bị và hệ số công suất của lưới điện
Trên thực tế, chính hệ số công suất tổng thể của lưới điện và các nhánh xoay chiều mới là yếu tố quyết định hiệu quả vận hành của hệ thống điện. Các đơn vị cung cấp điện thường cải thiện hệ số công suất của lưới bằng hai cách:
Cách 1: Trang bị thiết bị bù công suất phản kháng được lắp đặt tại trạm biến áp hoặc ngay tại nơi sử dụng điện.
Cách 2: Hạn chế kết nối tải có PF thấp nhằm giảm thiểu ảnh hưởng tiêu cực đến toàn hệ thống.
Đây là lý do trong nhiều máy phát điện công nghiệp, nhà sản xuất luôn chú trọng đến việc duy trì PF cao, giúp vận hành ổn định, tiết kiệm điện năng và giảm tải cho lưới.

Nguyên nhân dẫn đến hệ số công suất thấp
Một trong những nguyên nhân phổ biến nhất khiến hệ số công suất giảm là do các phụ tải cảm ứng, bao gồm máy biến áp, động cơ điện không đồng bộ, các thiết bị chiếu sáng phóng điện cường độ cao
Khác với phụ tải điện trở (như điện trở sưởi) chỉ tiêu thụ công suất thực (kW), các tải cảm ứng cần thêm dòng điện để tạo ra từ trường. Từ trường này sinh ra công suất phản kháng (kVAR), khiến công suất biểu kiến (kVA) tăng lên. Khi công suất phản kháng càng lớn, hệ số công suất (PF) càng giảm, đồng nghĩa hiệu quả sử dụng điện năng kém đi.
Tầm quan trọng trong việc nâng cao hệ số công suất
Hệ số công suất cosφ không chỉ phản ánh hiệu quả sử dụng điện năng mà còn ảnh hưởng trực tiếp đến chi phí vận hành và tuổi thọ của thiết bị điện.
Nguyên nhân dẫn đến hệ số công suất thấp chủ yếu xuất phát từ các thiết bị cảm ứng như động cơ không đồng bộ, máy biến áp hoặc các thiết bị chiếu sáng phóng điện. Những phụ tải này thường tiêu thụ nhiều công suất phản kháng (Q), làm tăng tổn thất trong hệ thống và khiến lưới điện hoạt động kém hiệu quả. Để khắc phục, người ta thường sử dụng các thiết bị bù công suất phản kháng, đặt gần phụ tải nhằm tránh truyền tải lượng Q lớn trên đường dây.
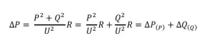
Giảm tổn thất công suất trong mạng điện
Khi công suất phản kháng Q được bù, dòng điện trên đường dây giảm, từ đó làm giảm tổn thất công suất. Điều này giúp tiết kiệm năng lượng và tối ưu hóa chi phí vận hành.

Giảm tổn thất điện áp
Việc hạn chế truyền tải công suất phản kháng Q giúp giảm thiểu sụt áp trên đường dây. Nhờ đó, điện áp tại các điểm tiêu thụ được ổn định hơn, bảo vệ thiết bị và đảm bảo chất lượng điện năng.

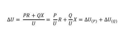
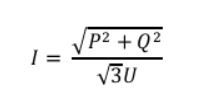
Tăng khả năng truyền tải của máy biến áp và đường dây
Khi hệ số công suất được cải thiện, công suất tác dụng P tăng trong khi công suất phản kháng Q giảm. Điều này cho phép đường dây và máy biến áp khai thác tối đa khả năng truyền tải mà không vượt quá giới hạn nhiệt. Dòng điện chạy trên máy biến áp và đường dây được tính như sau:

Nếu hệ số công suất thấp, máy phát phải làm việc quá tải, gây tổn hao năng lượng và rút ngắn tuổi thọ. Ngược lại, khi hệ số công suất được cải thiện, máy phát hoạt động ổn định, đảm bảo cung cấp điện liên tục cho sản xuất, giảm chi phí nhiên liệu và bảo trì.
Nhược điểm của hệ số công suất thấp
Hệ số công suất ảnh hưởng trực tiếp đến hiệu quả vận hành của hệ thống điện. Một hệ số công suất thấp mang lại nhiều nhược điểm, cụ thể:
- Khi hệ số công suất thấp, dòng điện phải tăng lên để đáp ứng cùng một công suất thực, làm tăng tổn hao điện năng trên đường dây và máy biến áp.
- Việc tiêu thụ nhiều công suất phản kháng khiến doanh nghiệp phải trả thêm chi phí điện năng và chi phí bảo trì hệ thống điện.
- Dòng điện lớn hơn bình thường làm tăng áp lực lên các thiết bị như dây dẫn, cầu dao, máy biến áp, gây quá tải và rút ngắn tuổi thọ.
- Hệ số công suất thấp đồng nghĩa với việc sử dụng điện năng kém hiệu quả, gây lãng phí tài nguyên và ảnh hưởng tiêu cực đến môi trường.
Trong các nhà máy, đặc biệt là khi vận hành máy phát điện công nghiệp, hệ số công suất thấp có thể dẫn đến tình trạng máy phát làm việc kém ổn định, tiêu hao nhiên liệu nhiều hơn và dễ gặp sự cố quá tải.
Các phương pháp cải thiện hệ số công suất
Để nâng cao hiệu quả vận hành và tiết kiệm chi phí, cần có các giải pháp cải thiện hệ số công suất. Hiện nay, hai phương pháp phổ biến nhất là:
Nâng cao hệ số cosφ nhân tạo
Đây là phương pháp sử dụng các thiết bị bù công suất phản kháng như tụ bù, cuộn kháng hoặc bộ điều khiển tự động. Các thiết bị này được lắp đặt tại phụ tải hoặc tủ điện, giúp cung cấp công suất phản kháng cần thiết cho hệ thống. Kết quả là dòng điện trong lưới giảm xuống, hệ số công suất được nâng cao rõ rệt.
Nâng cao hệ số cosφ tự nhiên
Phương pháp này tập trung vào việc lựa chọn và vận hành các thiết bị điện có hiệu suất cao, hệ số công suất tốt ngay từ đầu, chẳng hạn như động cơ hiệu suất cao, đèn LED thay cho các loại đèn truyền thống. Giải pháp này giúp cải thiện hệ số công suất một cách bền vững, lâu dài.

Kết luận
Việc cải thiện hệ số công suất không chỉ là biện pháp kỹ thuật nhằm giảm thiểu tổn thất điện năng, mà còn là một chiến lược kinh tế quan trọng, giúp doanh nghiệp tối ưu hóa chi phí, đảm bảo hệ thống điện vận hành và kéo dài tuổi thọ thiết bị. Đặc biệt, với máy phát điện công nghiệp, việc duy trì hệ số công suất cao là yếu tố then chốt để đảm bảo khả năng cung cấp điện liên tục, an toàn và tiết kiệm. Để được giải đáp thắc mắc, vui lòng liên hệ Dianyo PowerGen qua Hotline: 058 553 7777 hoặc truy cập website: https://dianyopowergen.com/.
Đối tác chính








